機械密封平行平面流體膜模型
機械密封平行平面流體膜模型:
菲利(flygt)泵用密封機械密封平行平面間流體膜(墊〉是怎樣形成的呢?這可以用斯蒂芬定律來說明這一流體靜壓緩沖蟄的形成(即擠壓膜的緩沖墊作用〉。
對于內(外)壓力源可以使密紂墊具有一定的承載能力。薄的流體膜能夠維持穩定狀態,是因為流體膜存在恢復力,其申位作用力由斯蒂芬求出,它與流體黏度、法向速度dh/dt和相對間隙h/l有關,可寫成
![]()
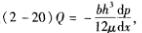
它的推導如下〈有些步驟省略〕:根據平面縫隙壓差流公式
,它等
。
本文源自http://m.jizhoujizhong.cn/news/436.html,轉載請注明出處。
(責任編輯:機械密封http://m.jizhoujizhong.cn)
上一篇:機械密封流體正負鋼度的影響 下一篇:機械密封整個流體膜的承載能力
- 上一篇:機械密封流體正負鋼度的影響
- 下一篇:機械密封整個流體膜的承載能力
機械密封熱門文章
機械密封文章推薦
最新資訊
- 2023-07-04· 注冊就送38的平臺(官方)APP下
- 2023-06-30· 機械密封的保養與維修方法
- 2023-06-29· 機械密封的運行原理及其特點
- 2023-06-29· 機械密封的密封材料與密封性
- 2023-06-28· 機械密封的安裝及維護方法
- 2023-06-26· 機械密封的密封原理及其應用
聯系我們
浙江生產基地:浙江嘉善環城東路硅谷開發區(赤盾科技園)
嘉興銷售及技術支持中心:嘉興市環北西路經濟開發區
國內24小時銷售人員電話:18202142627
國內24小時技術支持:13917573091
電子郵件:1050760236@qq.com
jxchishidun@163.com
即時聊天工具:QQ: 1050760236
微信:15990310020
網址:m.jizhoujizhong.cn



